安徽省财政厅关于提前下达2026年中央财政农业相关转移支付资金预算的通知(舒城县)
各市、县(市、区)财政局,省直有关部门(单位):
为提高地方预算编制的完整性,加快转移支付资金支出进度,根据《财政部关于提前下达 2026年农业相关转移支付资金预算的通知》(财农〔2025〕71号)要求,经研究,现将2026年中央财政农业相关转移支付资金预算提前下达你单位,主要为粮油生产保障资金(项目代码:340000231415000000018)、耕地建设与利用资金(项目代码:340000231415000000022)、农业产业发展资金(项目代码:340000231415000000021)、农业经营主体能力提升资金(项目代码:340000231415000000023)、农业生态资源保护资金(项目代码:340000231415000000019),具体金额详见附件。收入列2026年政府收支分类科目“1100252农林水共同财政事权转移支付收入”,支出列“21301农业农村”(其中耕地地力保护补贴列“2130120稳定农民收入补贴”),待进入2026年预算年度后,按程序及时拨付资金。
粮油生产保障资金、耕地建设与利用资金、农业产业发展资金、农业经营主体能力提升资金、农业生态资源保护资金列入转移支付预算执行常态化监督范围,各市、县(市、区)财政局要在预算管理一体化系统及时接收登录预算指标,并保持“追踪”标识不变,依托预算管理一体化系统转移支付监控模块,加强日常监管,提高转移支付资金管理使用的规范性和有效性。其中,粮油生产保障资金按扩种油菜、大豆玉米带状复合种植和其他支出方向追踪,耕地建设与利用资金按耕地地力保护补贴、高标准农田建设、耕地轮作休耕和耕地质量提升支出方向追踪,相关预算指标在接收、登录和下达等各个环节应单独列示。
各地财政部门要积极会同农业农村等主管部门,管好用好资金,加强统筹调度,加快资金预算执行,严格资金使用管理,切实发挥资金效益。
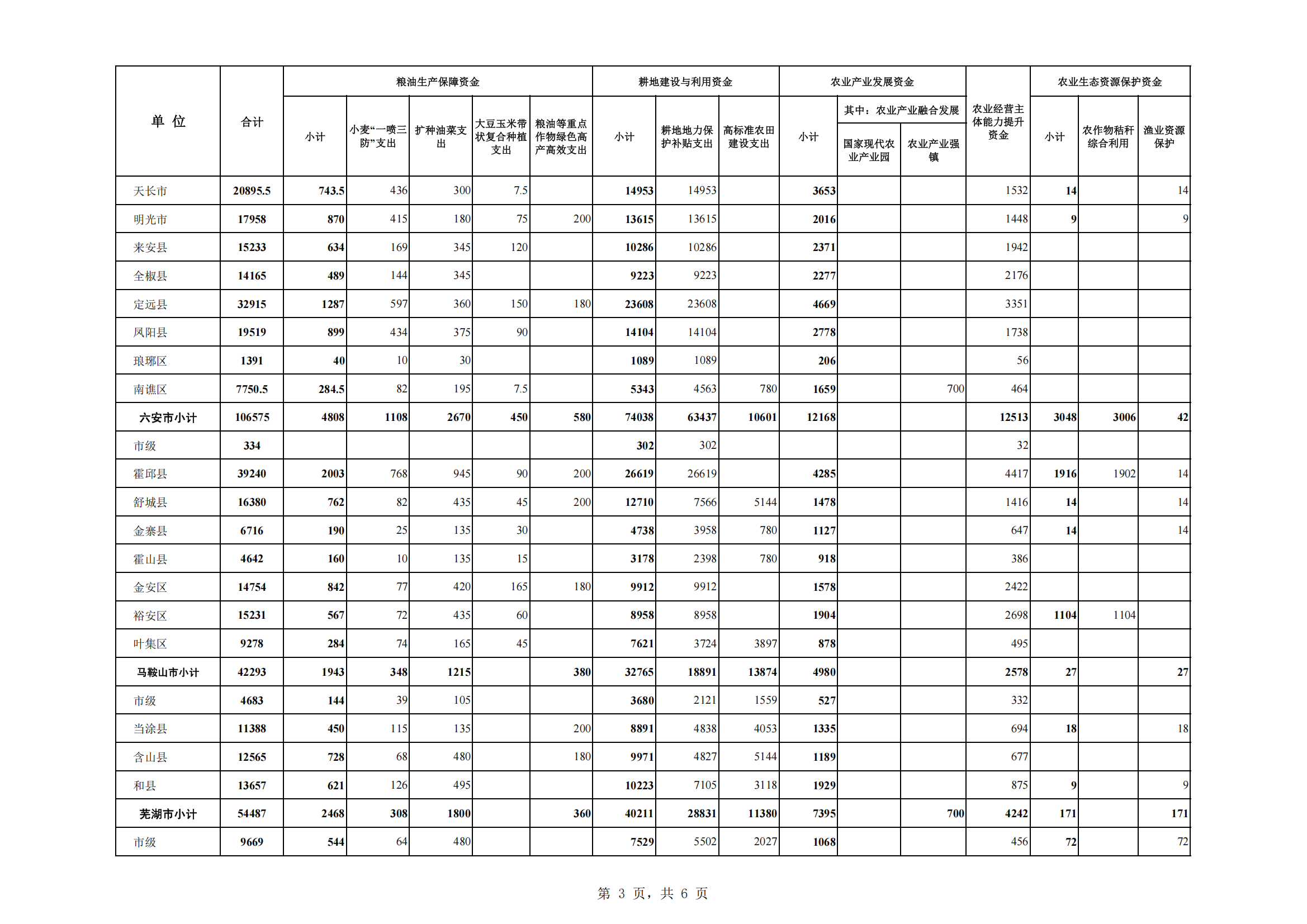
附件:提前下达2026年中央财政农业相关转移支付资金预算分配表
安徽省财政厅
2025年12月10日

皖公网安备 34152302000043号